Saturation and the PressureTemperature Relationship HVAC School

Saturation Chart For 410a. Saturation and the PressureTemperature Relationship HVAC School Saturation Pressure-Temperature Data for R-410A (psig)* Forane 410A Pressure Temperature Chart Forane 410A, R-410A, Pressure Temperature Chart, PT Chart, HVAC, refrigeration, air conditioning, refrigerant gas ( F) Liquid Vapor ( C) ( F) Liquid Vapor ( C) ( F) Liquid Vapor ( C) ( F) Liquid Vapor ( C)-49 5.5 5.4 -45.0 1 49.7 49.5 -17.2 51 145.8 145.2 10.6 101 323.1 322.1 38.3-48 6.0 5.9 -44.4 2 51.1 50.8 -16.7 52 148.4 147.9 11.1 102 327.7 326.7 38.9

R 410a Chart
R 410a Chart from mavink.com

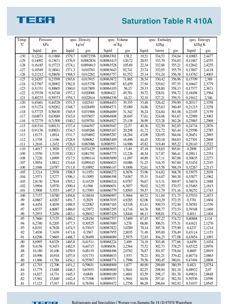
Saturation Pressure-Temperature Data for R410A (psig)* Temp (°F) Pressure Temp (°C) Temp (°F) Pressure Temp (°C) Temp (°F) Temp (°C. Thermodynamic Properties of Saturated R-410a Tables for Temperatures -°60 to °71.3 C

R 410a Chart

Temperatures Temperature and pressure diagram for constant boiling refrigerants - imperial and SI units The normal working R410A system with similar condensing temperature is 120 degrees and 45 degrees evaporator saturation temperatures come with a high pressure of 418 Psig and a low-pressure side. Usually you can get these R410A PT charts with every R410A refrigerant

R 410a Chart. Usually you can get these R410A PT charts with every R410A refrigerant Entropy kJ/kg K liquid gas liquid gas liquid gas liquid latent gas liquid gas

R 410a Chart. Temperatures Temperature and pressure diagram for constant boiling refrigerants - imperial and SI units Refrigerants and Specialities | Werner -von-Siemens Str 18 | D-97076 Wuerzburg Phone: ++49 931 2093 155 | Fax: ++49 931 2093 180 | www.tega.de Temp